Martin Gouterman bol americký chemik, ktorý sa preslávil svojím priekopníckym výskumom v oblasti porfyrínov a to vyvinutím Goutermanovho štvorkvadrantového modelu vysvetľujúceho optické spektrá porfyrínov. Objasnil prečo je tráva zelená a krv červená.
Poď na Dúhy!
Zaregistruj sa na najväčšiu LGBT+ sociálnu sieť na Slovensku!
Viac informácií →
Vzdelanie
Gouterman získal bakalársky titul na Univerzite v Chicagu, kde pôvodne študoval hru na klavíri, ale neskôr prešiel na fyziku. Doktorát v odbore fyziky obhájil v roku 1958 na tej istej univerzite. Po ukončení štúdií pôsobil ako postdoktorand na Harvardskej univerzite, kde sa začal venovať výskumu porfyrínov a vyvinul známy Goutermanov štvorkvadrantový model. V roku 1966 začal pracovať na Univerzite vo Washingtone v Seattli, kde pôsobil až do svojho odchodu do dôchodku v roku 1999.

Porfyríny
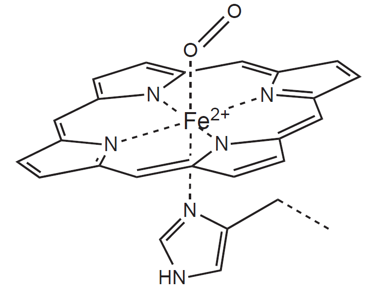
Porfyríny sú organické kruhové molekuly s charakteristickou štruktúrou, ktoré sa vyskytujú napríklad v hemoglobíne alebo chlorofile. Tieto molekuly umožňujú viazanie kovových iónov, ktoré umožňujú ich správne fungovanie v organizmoch.
Gouterman sa primárne snažil objasniť optické a spektroskopické vlastnosti porfyrínov, teda ako absorbujú a emitujú svetlo. Jeho cieľom bolo pochopiť, prečo majú porfyríny také charakteristické absorpčné spektrá aké majú a ako tieto spektrá ovplyvňujú rôzne substitúcie – či už výmenou kovového iónu v strede kruhu, alebo zmenou bočných skupín na porfyrínovom kruhu.
Porfyríny nachádzajú svoje uplatnenie v rôznych oblastiach medicíny a v technológiách. Napríklad v dermatológii sa využíva ich schopnosť reagovať na svetlo pri liečbe akné. Pri tzv. fotodynamickej terapii sa porfyríny aplikujú na pokožku a následne sa aktivujú svetlom určitej vlnovej dĺžky. Tento proces vedie k tvorbe reaktívnych foriem kyslíka, ktoré ničia baktérie spôsobujúce akné.
Aktivizmus
Okrem toho, že Martin Gouterman dosiahol významné úspechy v oblasti chémie, bol aj oddaným aktivistom, ktorý sa angažoval v mnohých sociálnych a politických otázkach. Zapojil sa do aktivít proti vojne vo Vietname a usiloval sa o spravodlivý mier medzi Izraelom a Palestínou. Pracoval s organizáciami ako Kadima/New Jewish Agenda a International Jewish Peace Union, kde sa zameriaval na podporu ukončenia izraelskej okupácie Západného brehu a Gazy.
Gouterman bol aj aktívnym členom LGBT+komunity. V 60. rokoch pomohol založiť Dorian Society, organizáciu, ktorá sa zameriavala na podporu porozumenia a tolerancie voči homosexuálnym osobám. Názov organizácie, ktorý navrhol práve Gouterman, bol múdrym odkazom na starovekých gréckych bojovníkov, čo v sebe skrývalo aj vtipnú a inteligentnú narážku na odolnosť a silu komunity.
Cez svoju vedeckú prácu, ako aj svoje aktivity v oblasti mieru a rovnosti, Gouterman ukázal, že je človekom, ktorý nielen že formoval akademickú sféru, ale podporoval aj inklúziu a diverzitu vo vede.
V 80. rokoch taktiež pomohol lesbickému páru stať sa rodičmi darcovstvom spermií. Neskôr prostredníctvom spoločných príbuzných zistil identitu ich syna, a vytvorili si blízky vzťah.
Pridaj sa do nášho tímu!
Baví ťa písať? Chceš mať svoj článok u nás na magazíne? Ozvi sa nám!
Napiš na magazin@duhy.sk →





